Uploaded by common.user43537

algoritma kejang demam new

advertisement
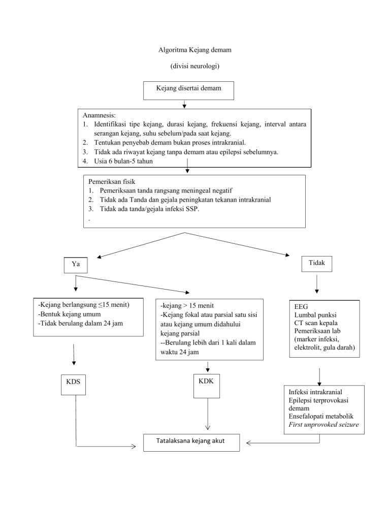
Algoritma Kejang demam
(divisi neurologi)
Kejang disertai demam
Anamnesis:
1. Identifikasi tipe kejang, durasi kejang, frekuensi kejang, interval antara
serangan kejang, suhu sebelum/pada saat kejang.
2. Tentukan penyebab demam bukan proses intrakranial.
3. Tidak ada riwayat kejang tanpa demam atau epilepsi sebelumnya.
4. Usia 6 bulan-5 tahun
Pemeriksan fisik
1. Pemeriksaan tanda rangsang meningeal negatif
2. Tidak ada Tanda dan gejala peningkatan tekanan intrakranial
3. Tidak ada tanda/gejala infeksi SSP.
.
Tidak
Ya
-Kejang berlangsung ≤15 menit)
-Bentuk kejang umum
-Tidak berulang dalam 24 jam
KDS
-kejang > 15 menit
-Kejang fokal atau parsial satu sisi
atau kejang umum didahului
kejang parsial
--Berulang lebih dari 1 kali dalam
waktu 24 jam
EEG
Lumbal punksi
CT scan kepala
Pemeriksaan lab
(marker infeksi,
elektrolit, gula darah)
KDK
Infeksi intrakranial
Epilepsi terprovokasi
demam
Ensefalopati metabolik
First unprovoked seizure
Tatalaksana kejang akut
Download